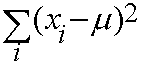
We will work on learing this formula from the inside out. Consider the expression below:

This is the sum of the difference between each individual data item and the mean of the whole set of data items.

To see what this all looks like when you go to work it out, press this button.

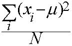
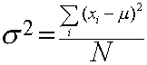
The next stage is to look at the quantity:

This is the average of the squared distance of the mean from any given data item. This is called the variance. It is denoted by the sigma squared symbol as below:

Press this button to see how this is done.

Next Page